Sisteme De Ecuatii Diferentiale
Sisteme De Ecuatii Diferentiale
Rezolvarea ecuatiilor diferentiale in matlabfull description. 6887 25 nov 2016, 18:35.
Iata cateva CV-uri de cuvinte cheie pentru a va ajuta sa gasiti cautarea, proprietarul drepturilor de autor este proprietarul original, acest blog nu detine drepturile de autor ale acestei imagini sau postari, dar acest blog rezuma o selectie de cuvinte cheie pe care le cautati din unele bloguri de incredere si bine sper ca acest lucru te va ajuta foarte mult
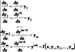
Ecuaţii diferenţiale, sisteme de ecuaţii diferenţiale, ecuaţii cu derivate parţiale de ordinul întâi, serii fourier, ecuaţii cu derivate parţiale de ordinul al doilea, elemente de calcul variaţional. Teorema de existen¸ta˘ s¸i unicitate ecua¸tii diferen¸tiale de ordinul ˆıntaˆ i integrabile prin cuadraturi. Prin sistem de n ecuații diferențiale de ordinul întâi sub formă normală , se înțelege un sistem de forma:
• y variabila dependenta˘ (func¸tia necunoscuta˘).
Rezolvarea ecuatiilor diferentiale in matlabfull description. Ecuatii diferentiale de ordinul întâi integrabile prin cuadraturi. Gabriel paltineanu si pavel matei).
Ecuatii si sisteme de ecuatii diferentiale. Se numeşte sistem normal sistemul de ecuaţii diferenţiale de ordinul întâi dx dt = f (t, x, x 2,., x n ) dx 2 dt = f 2(t, x, x 2,., x n ) dx n dt = f n (t, x, x 2,., x n ). Teorema de existenta si unicitate.
Ecuatii diferentiale,referat ecuatii diferentiale simple,matematicieni celebri,integrarea diferentialelor binome,calculul ecuatiilor matriciale,cateva sisteme d.
1 curs 5 sisteme de ecuaţii diferenţiale 5. S de integreze ecuaia diferenial de ordinul nti liniar. • y variabila dependenta˘ (func¸tia necunoscuta˘).
• o func¸tie φ : Un sistem care nu are solutii se numeste incompatibil. Coeficienții sistemului pot fi limitați la a fi numere întregi, raționale, reale sau complexe.
Ecuatii diferentiale ordinare cu aplicatii in bioinginerie si medicina.
Ecuatii diferentiale,referat ecuatii diferentiale simple,matematicieni celebri,integrarea diferentialelor binome,calculul ecuatiilor matriciale,cateva sisteme d. Am încercat să iniţiem pe cititori în procesul de modelare a proceselor de. In addition, we give brief discussions on using.

Posting Komentar untuk "Sisteme De Ecuatii Diferentiale"