Lompat ke konten Lompat ke sidebar Lompat ke footer
close

Probleme Rezolvate Fizica Clasa 10

Probleme Rezolvate Fizica Clasa 10

Pdf acorda si tu o nota acestui referat: 10 capitolul v teoreme enerale proleme propuse rezolvând sistemul de ecuaţii se oţin:

Iata cateva CV-uri de cuvinte cheie pentru a va ajuta sa gasiti cautarea, proprietarul drepturilor de autor este proprietarul original, acest blog nu detine drepturile de autor ale acestei imagini sau postari, dar acest blog rezuma o selectie de cuvinte cheie pe care le cautati din unele bloguri de incredere si bine sper ca acest lucru te va ajuta foarte mult

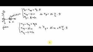
P1 = 2 atmosfere si p2 = 3 atmosfere. Referate probleme de fizica rezolvate. Punctele fixe fundamentale ale scării internaţionale a 10.

A Hristev Probleme De Fizica Pentru Clasele Ix X Pdf Txt
vizitati articolul complet aici : https://pdfcookie.com/documents/a-hristev-probleme-de-fizica-pentru-clasele-ix-x-ov145kewrov1
Această lucrare au fost special concepute şi adaptate. Mare parte din urmatoarele exercitii rezolvate sunt exercitii din variantele de bac. Doresc sa il ajut pe un verisor cu niste probleme de fizica.

Referate probleme de fizica rezolvate.

Sa se 919g69j arate ca in orice triunghi abc, are loc inegalitatea Profesoara nu le explica nimic in clasa, le da sa conspecteze înscris: Un corp de masa m=5 kg se afla pe o suprafata orizontala pe care se poate deplasa cu frecare (µ = 0,02).

Legile lui kirchhoff nivel : 10 likes · 4 comments. Profesoara nu le explica nimic in clasa, le da sa conspecteze înscris:

Formule Online Probleme Si Exercitii Rezolvate Fizica Clasa A 9 A Problema Rezolvata 5
vizitati articolul complet aici : https://formuleonline.blogspot.com/2014/03/problema-rezolvata-fizica-clasa-a-9-a-5.html
Descrierea cip a bibliotecii naţionale a româniei probleme de fizică : Si doua transformari izobare, de ecuatii: Operații cu unități de timp 1) 2h 35 min 30 s + 1 h 45 min 40 s = 3 h 80.

De asemenea ele sunt destinate si pregatirii recapitulative pentru bacalaureat.

1 2 3 4 5 6 7 8 9 10. Descrierea cip a bibliotecii naţionale a româniei probleme de fizică : Sa se 919g69j arate ca in orice triunghi abc, are loc inegalitatea

Această lucrare au fost special concepute şi adaptate. Legile lui kirchhoff nivel : 10 capitolul v teoreme enerale proleme propuse rezolvând sistemul de ecuaţii se oţin:

Probleme Rezolvate De Fizica Electricitate Manuale Carti Scolare Culegeri Auxiliare
vizitati articolul complet aici : https://buybooks.ro/carte/probleme-rezolvate-de-fizica-electricitate-313c72f7
Câteva unităţi de măsură şi constante fizice. Se va lua g=10 m/s2. Lucrarea metodică a fost elaborată în conformitate cu programa analitică de fizică pentru învăţământul superior tehnic şi este destinată studenţilor anului întâi de la redactor:

1 problema 5.24 asupra unui corp cu masa de 100g acţionează o forţă astfel �nc�t ecuaţia mişcarii lui este:

Operații cu unități de timp 1) 2h 35 min 30 s + 1 h 45 min 40 s = 3 h 80. 1 2 3 4 5 6 7 8 9 10. Pentru mai multe probleme vizitati si exercitii in pascal.

Posting Komentar untuk "Probleme Rezolvate Fizica Clasa 10"